Simulation 0008¶
Metadata Field |
Value |
---|---|
Simulation ID |
0008 |
Name |
q1_precessing |
Mass Ratio |
1 |
Spin 1 |
(0.487, 0.125, -0.327) |
Spin 2 |
(-0.19, 0.051, -0.227) |
Final Mass |
0.958 |
Final Spin |
0.603 |
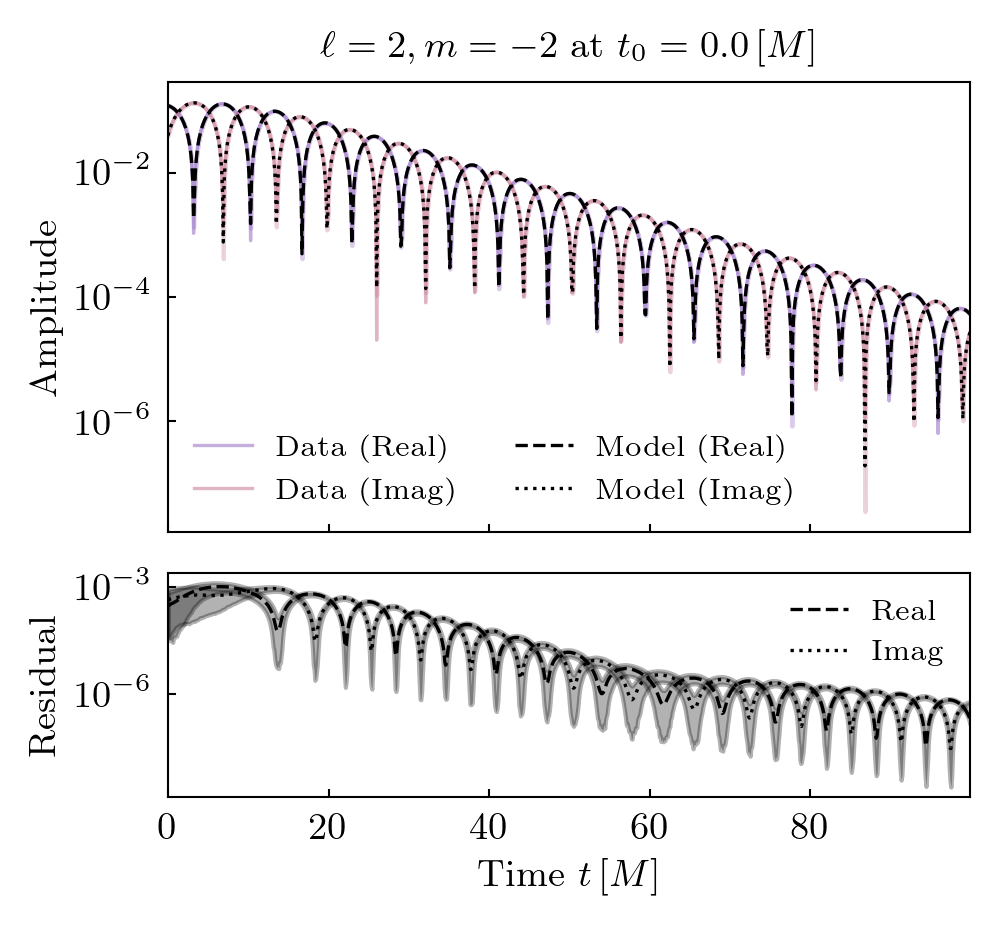
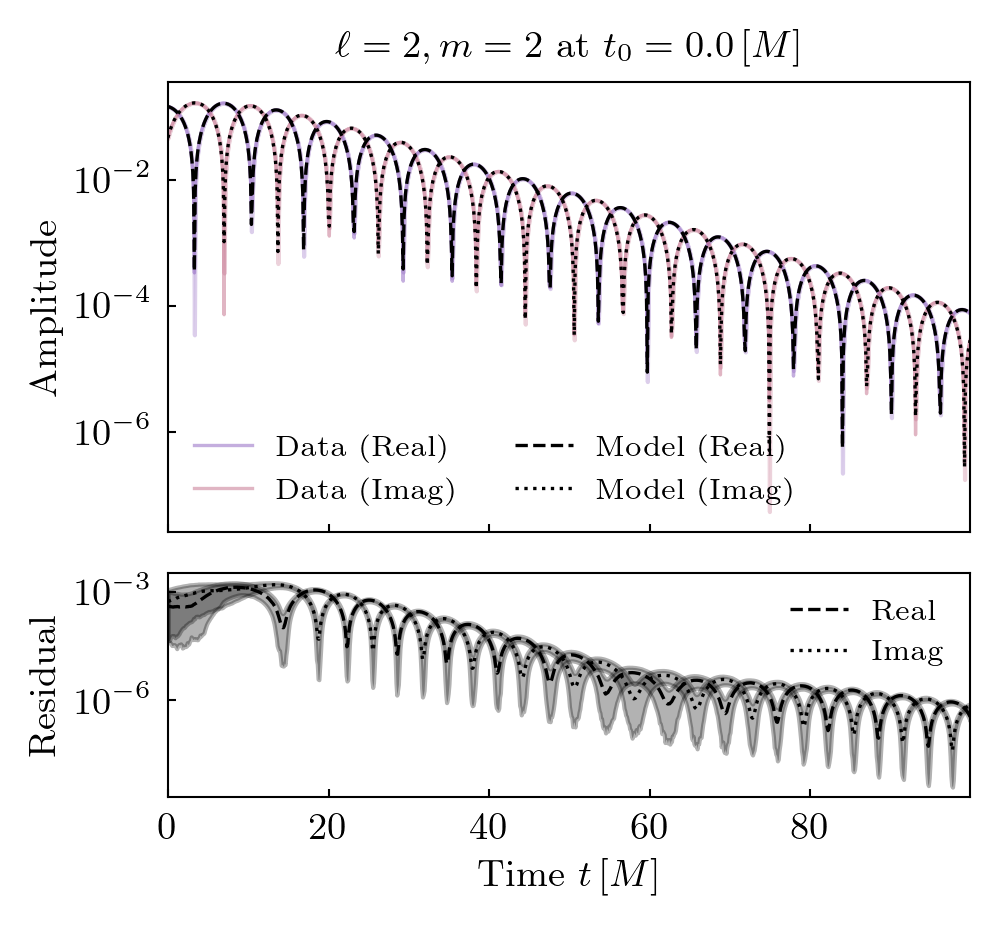
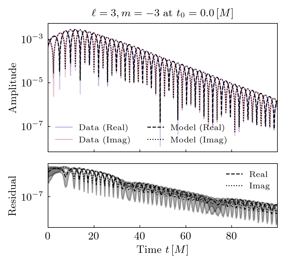
Spherical harmonics (included in the fits):
[(2, 2), (3, 2), (3, 3), (4, 3), (2, -2), (3, -2), (3, -3), (4, -3)]
Target harmonics (included in the figures):
[(2, 2), (3, 3), (2, -2), (3, -3)]
Candidate modes considered:
Tuples of length 2 / 4 / 8 / 12 are constant terms / QNMs / quadratic QNMs / cubic QNMs.
[(2, 2, 0, 1), (2, 2, 1, 1), (2, 2, 2, 1), (2, 2, 3, 1), (2, 2, 4, 1), (2, 2, 5, 1), (2, 2, 6, 1), (3, 2, 0, 1), (3, 2, 1, 1), (3, 2, 2, 1), (3, 2, 3, 1), (3, 2, 4, 1), (3, 2, 5, 1), (3, 2, 6, 1), (3, 3, 0, 1), (3, 3, 1, 1), (3, 3, 2, 1), (3, 3, 3, 1), (3, 3, 4, 1), (3, 3, 5, 1), (3, 3, 6, 1), (4, 3, 0, 1), (4, 3, 1, 1), (4, 3, 2, 1), (4, 3, 3, 1), (4, 3, 4, 1), (4, 3, 5, 1), (4, 3, 6, 1), (2, -2, 0, 1), (2, -2, 1, 1), (2, -2, 2, 1), (2, -2, 3, 1), (2, -2, 4, 1), (2, -2, 5, 1), (2, -2, 6, 1), (3, -2, 0, 1), (3, -2, 1, 1), (3, -2, 2, 1), (3, -2, 3, 1), (3, -2, 4, 1), (3, -2, 5, 1), (3, -2, 6, 1), (3, -3, 0, 1), (3, -3, 1, 1), (3, -3, 2, 1), (3, -3, 3, 1), (3, -3, 4, 1), (3, -3, 5, 1), (3, -3, 6, 1), (4, -3, 0, 1), (4, -3, 1, 1), (4, -3, 2, 1), (4, -3, 3, 1), (4, -3, 4, 1), (4, -3, 5, 1), (4, -3, 6, 1), (2, 2, 0, -1), (2, 2, 1, -1), (2, 2, 2, -1), (2, 2, 3, -1), (2, 2, 4, -1), (2, 2, 5, -1), (2, 2, 6, -1), (3, 2, 0, -1), (3, 2, 1, -1), (3, 2, 2, -1), (3, 2, 3, -1), (3, 2, 4, -1), (3, 2, 5, -1), (3, 2, 6, -1), (3, 3, 0, -1), (3, 3, 1, -1), (3, 3, 2, -1), (3, 3, 3, -1), (3, 3, 4, -1), (3, 3, 5, -1), (3, 3, 6, -1), (4, 3, 0, -1), (4, 3, 1, -1), (4, 3, 2, -1), (4, 3, 3, -1), (4, 3, 4, -1), (4, 3, 5, -1), (4, 3, 6, -1), (2, -2, 0, -1), (2, -2, 1, -1), (2, -2, 2, -1), (2, -2, 3, -1), (2, -2, 4, -1), (2, -2, 5, -1), (2, -2, 6, -1), (3, -2, 0, -1), (3, -2, 1, -1), (3, -2, 2, -1), (3, -2, 3, -1), (3, -2, 4, -1), (3, -2, 5, -1), (3, -2, 6, -1), (3, -3, 0, -1), (3, -3, 1, -1), (3, -3, 2, -1), (3, -3, 3, -1), (3, -3, 4, -1), (3, -3, 5, -1), (3, -3, 6, -1), (4, -3, 0, -1), (4, -3, 1, -1), (4, -3, 2, -1), (4, -3, 3, -1), (4, -3, 4, -1), (4, -3, 5, -1), (4, -3, 6, -1), (2, 2), (3, 2), (3, 3), (4, 3), (2, -2), (3, -2), (3, -3), (4, -3)]
Mode Content¶

Amplitude Stability¶




Fits¶



