Simulation 0013¶
Metadata Field |
Value |
---|---|
Simulation ID |
0013 |
Name |
q4_precessing |
Mass Ratio |
4 |
Spin 1 |
(0.487, 0.125, -0.327) |
Spin 2 |
(-0.19, 0.051, -0.227) |
Final Mass |
0.981 |
Final Spin |
0.43 |
Spherical harmonics (included in the fits):
[(2, 2), (3, 2), (3, 3), (4, 3), (4, 4), (5, 4), (5, 5), (6, 5), (6, 6), (7, 6), (2, -2), (3, -2), (3, -3), (4, -3), (4, -4), (5, -4), (5, -5), (6, -5), (6, -6), (7, -6)]
Target harmonics (included in the figures):
[(2, 2), (3, 3), (4, 4), (5, 5), (6, 6), (2, -2), (3, -3), (4, -4), (5, -5), (6, -6)]
Candidate modes considered:
Tuples of length 2 / 4 / 8 / 12 are constant terms / QNMs / quadratic QNMs / cubic QNMs.
[(2, 2, 1, 1), (2, 2, 2, 1), (2, 2, 3, 1), (2, 2, 4, 1), (2, 2, 5, 1), (2, 2, 6, 1), (3, 2, 1, 1), (3, 2, 2, 1), (3, 2, 3, 1), (3, 2, 4, 1), (3, 2, 5, 1), (3, 2, 6, 1), (2, 2, 0, -1), (2, 2, 1, -1), (2, 2, 2, -1), (2, 2, 3, -1), (2, 2, 4, -1), (2, 2, 5, -1), (2, 2, 6, -1), (3, 2, 0, -1), (3, 2, 1, -1), (3, 2, 2, -1), (3, 2, 3, -1), (3, 2, 4, -1), (3, 2, 5, -1), (3, 2, 6, -1), (2, 2), (3, 2), (3, 3, 1, 1), (3, 3, 2, 1), (3, 3, 3, 1), (3, 3, 4, 1), (3, 3, 5, 1), (3, 3, 6, 1), (4, 3, 1, 1), (4, 3, 2, 1), (4, 3, 3, 1), (4, 3, 4, 1), (4, 3, 5, 1), (4, 3, 6, 1), (3, 3, 0, -1), (3, 3, 1, -1), (3, 3, 2, -1), (3, 3, 3, -1), (3, 3, 4, -1), (3, 3, 5, -1), (3, 3, 6, -1), (4, 3, 0, -1), (4, 3, 1, -1), (4, 3, 2, -1), (4, 3, 3, -1), (4, 3, 4, -1), (4, 3, 5, -1), (4, 3, 6, -1), (3, 3), (4, 3), (4, 4, 1, 1), (4, 4, 2, 1), (4, 4, 3, 1), (4, 4, 4, 1), (4, 4, 5, 1), (4, 4, 6, 1), (5, 4, 1, 1), (5, 4, 2, 1), (5, 4, 3, 1), (5, 4, 4, 1), (5, 4, 5, 1), (5, 4, 6, 1), (4, 4, 0, -1), (4, 4, 1, -1), (4, 4, 2, -1), (4, 4, 3, -1), (4, 4, 4, -1), (4, 4, 5, -1), (4, 4, 6, -1), (5, 4, 0, -1), (5, 4, 1, -1), (5, 4, 2, -1), (5, 4, 3, -1), (5, 4, 4, -1), (5, 4, 5, -1), (5, 4, 6, -1), (4, 4), (5, 4), (2, 2, 0, 1, 2, 2, 0, 1), (5, 5, 1, 1), (5, 5, 2, 1), (5, 5, 3, 1), (5, 5, 4, 1), (5, 5, 5, 1), (5, 5, 6, 1), (6, 5, 1, 1), (6, 5, 2, 1), (6, 5, 3, 1), (6, 5, 4, 1), (6, 5, 5, 1), (6, 5, 6, 1), (5, 5, 0, -1), (5, 5, 1, -1), (5, 5, 2, -1), (5, 5, 3, -1), (5, 5, 4, -1), (5, 5, 5, -1), (5, 5, 6, -1), (6, 5, 0, -1), (6, 5, 1, -1), (6, 5, 2, -1), (6, 5, 3, -1), (6, 5, 4, -1), (6, 5, 5, -1), (6, 5, 6, -1), (5, 5), (6, 5), (2, 2, 0, 1, 3, 3, 0, 1), (6, 6, 1, 1), (6, 6, 2, 1), (6, 6, 3, 1), (6, 6, 4, 1), (6, 6, 5, 1), (6, 6, 6, 1), (7, 6, 1, 1), (7, 6, 2, 1), (7, 6, 3, 1), (7, 6, 4, 1), (7, 6, 5, 1), (7, 6, 6, 1), (6, 6, 0, -1), (6, 6, 1, -1), (6, 6, 2, -1), (6, 6, 3, -1), (6, 6, 4, -1), (6, 6, 5, -1), (6, 6, 6, -1), (7, 6, 0, -1), (7, 6, 1, -1), (7, 6, 2, -1), (7, 6, 3, -1), (7, 6, 4, -1), (7, 6, 5, -1), (7, 6, 6, -1), (6, 6), (7, 6), (3, 3, 0, 1, 3, 3, 0, 1), (2, 2, 0, 1, 4, 4, 0, 1), (2, 2, 0, 1, 2, 2, 0, 1, 2, 2, 0, 1), (2, -2, 1, 1), (2, -2, 2, 1), (2, -2, 3, 1), (2, -2, 4, 1), (2, -2, 5, 1), (2, -2, 6, 1), (3, -2, 1, 1), (3, -2, 2, 1), (3, -2, 3, 1), (3, -2, 4, 1), (3, -2, 5, 1), (3, -2, 6, 1), (2, -2, 0, -1), (2, -2, 1, -1), (2, -2, 2, -1), (2, -2, 3, -1), (2, -2, 4, -1), (2, -2, 5, -1), (2, -2, 6, -1), (3, -2, 0, -1), (3, -2, 1, -1), (3, -2, 2, -1), (3, -2, 3, -1), (3, -2, 4, -1), (3, -2, 5, -1), (3, -2, 6, -1), (2, -2), (3, -2), (3, -3, 1, 1), (3, -3, 2, 1), (3, -3, 3, 1), (3, -3, 4, 1), (3, -3, 5, 1), (3, -3, 6, 1), (4, -3, 1, 1), (4, -3, 2, 1), (4, -3, 3, 1), (4, -3, 4, 1), (4, -3, 5, 1), (4, -3, 6, 1), (3, -3, 0, -1), (3, -3, 1, -1), (3, -3, 2, -1), (3, -3, 3, -1), (3, -3, 4, -1), (3, -3, 5, -1), (3, -3, 6, -1), (4, -3, 0, -1), (4, -3, 1, -1), (4, -3, 2, -1), (4, -3, 3, -1), (4, -3, 4, -1), (4, -3, 5, -1), (4, -3, 6, -1), (3, -3), (4, -3), (4, -4, 1, 1), (4, -4, 2, 1), (4, -4, 3, 1), (4, -4, 4, 1), (4, -4, 5, 1), (4, -4, 6, 1), (5, -4, 1, 1), (5, -4, 2, 1), (5, -4, 3, 1), (5, -4, 4, 1), (5, -4, 5, 1), (5, -4, 6, 1), (4, -4, 0, -1), (4, -4, 1, -1), (4, -4, 2, -1), (4, -4, 3, -1), (4, -4, 4, -1), (4, -4, 5, -1), (4, -4, 6, -1), (5, -4, 0, -1), (5, -4, 1, -1), (5, -4, 2, -1), (5, -4, 3, -1), (5, -4, 4, -1), (5, -4, 5, -1), (5, -4, 6, -1), (4, -4), (5, -4), (2, -2, 0, -1, 2, -2, 0, -1), (5, -5, 1, 1), (5, -5, 2, 1), (5, -5, 3, 1), (5, -5, 4, 1), (5, -5, 5, 1), (5, -5, 6, 1), (6, -5, 1, 1), (6, -5, 2, 1), (6, -5, 3, 1), (6, -5, 4, 1), (6, -5, 5, 1), (6, -5, 6, 1), (5, -5, 0, -1), (5, -5, 1, -1), (5, -5, 2, -1), (5, -5, 3, -1), (5, -5, 4, -1), (5, -5, 5, -1), (5, -5, 6, -1), (6, -5, 0, -1), (6, -5, 1, -1), (6, -5, 2, -1), (6, -5, 3, -1), (6, -5, 4, -1), (6, -5, 5, -1), (6, -5, 6, -1), (5, -5), (6, -5), (2, -2, 0, -1, 3, -3, 0, -1), (6, -6, 1, 1), (6, -6, 2, 1), (6, -6, 3, 1), (6, -6, 4, 1), (6, -6, 5, 1), (6, -6, 6, 1), (7, -6, 1, 1), (7, -6, 2, 1), (7, -6, 3, 1), (7, -6, 4, 1), (7, -6, 5, 1), (7, -6, 6, 1), (6, -6, 0, -1), (6, -6, 1, -1), (6, -6, 2, -1), (6, -6, 3, -1), (6, -6, 4, -1), (6, -6, 5, -1), (6, -6, 6, -1), (7, -6, 0, -1), (7, -6, 1, -1), (7, -6, 2, -1), (7, -6, 3, -1), (7, -6, 4, -1), (7, -6, 5, -1), (7, -6, 6, -1), (6, -6), (7, -6), (3, -3, 0, -1, 3, -3, 0, -1), (2, -2, 0, -1, 4, -4, 0, -1), (2, -2, 0, -1, 2, -2, 0, -1, 2, -2, 0, -1)]
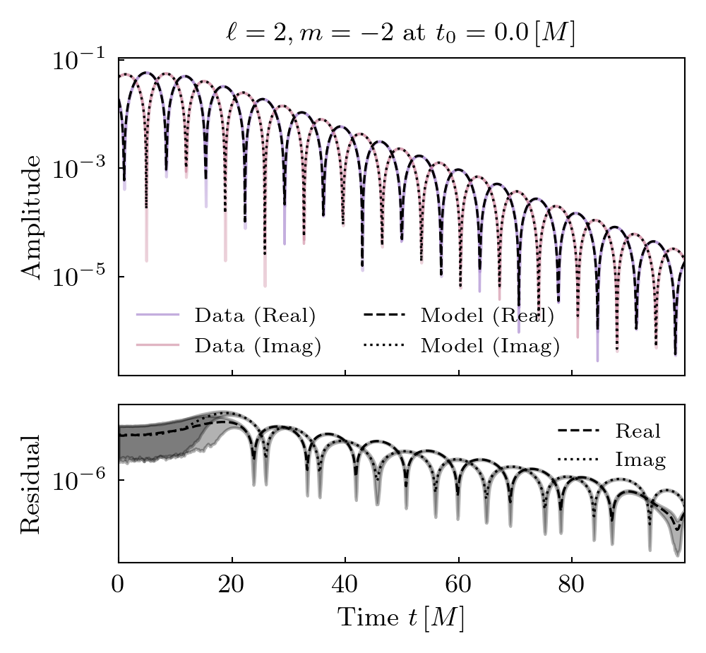
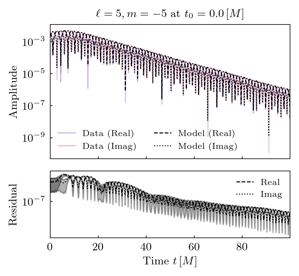
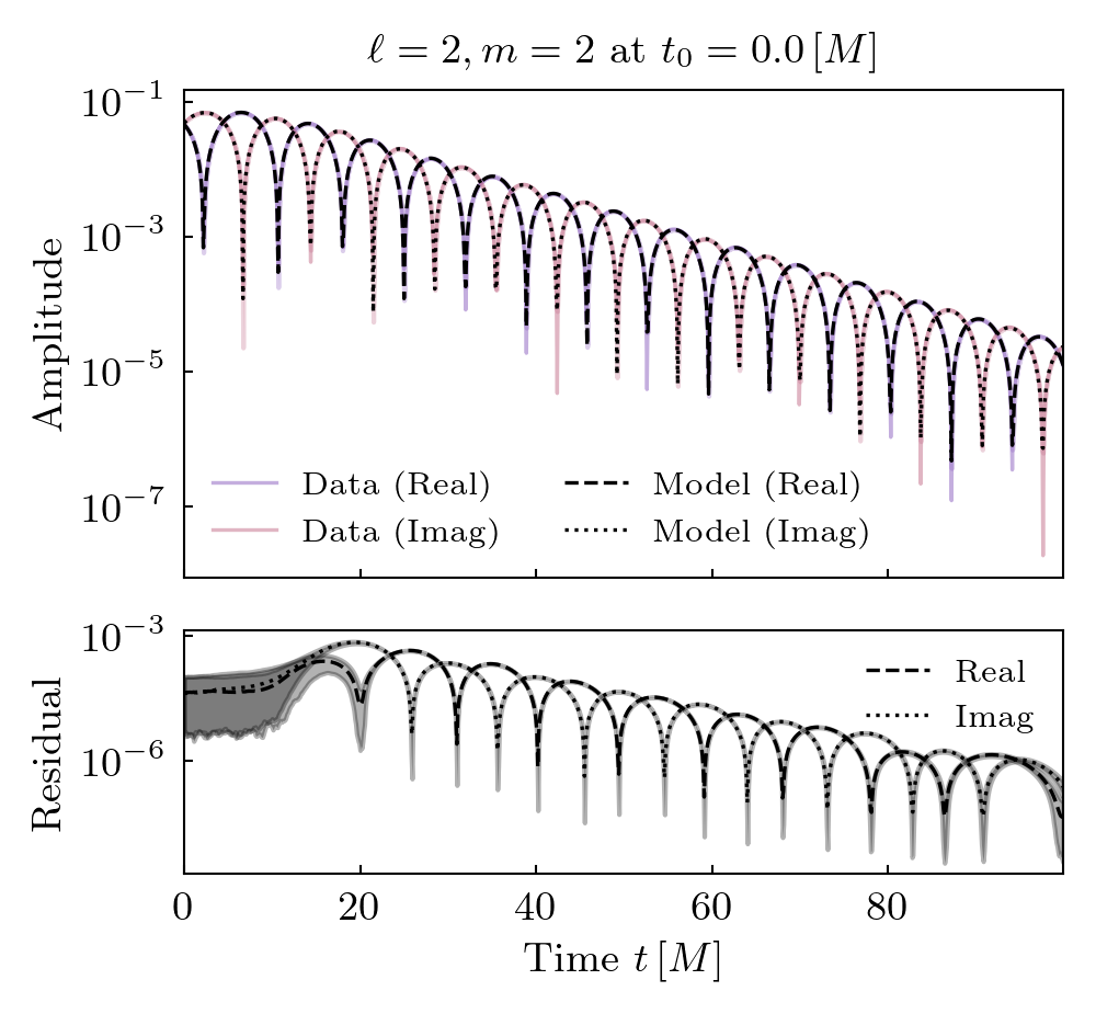
Mode Content¶
Additional Notes¶
This simulation contains multiple instances of a retrograde mode present without a prograde mode, which, in this exceptional case, have been shown on a separate plot as dotted regions. Furthermore, this is the only simulation found to contain a constant offset, which is shown in pink on the plots.


Amplitude Stability¶










Epsilon¶
