Simulation 0012¶
Metadata Field |
Value |
---|---|
Simulation ID |
0012 |
Name |
q4_antialigned_chi0_4 |
Mass Ratio |
4 |
Spin 1 |
(0, 0, 0.4) |
Spin 2 |
(0, 0, -0.4) |
Final Mass |
0.972 |
Final Spin |
0.672 |
Spherical harmonics (included in the fits):
[(2, 2), (3, 2), (3, 3), (4, 3), (4, 4), (5, 4), (5, 5), (6, 5), (6, 6), (7, 6)]
Target harmonics (included in the figures):
[(2, 2), (3, 3), (4, 4), (5, 5), (6, 6)]
Candidate modes considered:
Tuples of length 2 / 4 / 8 / 12 are constant terms / QNMs / quadratic QNMs / cubic QNMs.
[(2, 2, 0, 1), (2, 2, 1, 1), (2, 2, 2, 1), (2, 2, 3, 1), (2, 2, 4, 1), (2, 2, 5, 1), (2, 2, 6, 1), (3, 2, 0, 1), (3, 2, 1, 1), (3, 2, 2, 1), (3, 2, 3, 1), (3, 2, 4, 1), (3, 2, 5, 1), (3, 2, 6, 1), (3, 3, 0, 1), (3, 3, 1, 1), (3, 3, 2, 1), (3, 3, 3, 1), (3, 3, 4, 1), (3, 3, 5, 1), (3, 3, 6, 1), (4, 3, 0, 1), (4, 3, 1, 1), (4, 3, 2, 1), (4, 3, 3, 1), (4, 3, 4, 1), (4, 3, 5, 1), (4, 3, 6, 1), (4, 4, 0, 1), (4, 4, 1, 1), (4, 4, 2, 1), (4, 4, 3, 1), (4, 4, 4, 1), (4, 4, 5, 1), (4, 4, 6, 1), (5, 4, 0, 1), (5, 4, 1, 1), (5, 4, 2, 1), (5, 4, 3, 1), (5, 4, 4, 1), (5, 4, 5, 1), (5, 4, 6, 1), (5, 5, 0, 1), (5, 5, 1, 1), (5, 5, 2, 1), (5, 5, 3, 1), (5, 5, 4, 1), (5, 5, 5, 1), (5, 5, 6, 1), (6, 5, 0, 1), (6, 5, 1, 1), (6, 5, 2, 1), (6, 5, 3, 1), (6, 5, 4, 1), (6, 5, 5, 1), (6, 5, 6, 1), (6, 6, 0, 1), (6, 6, 1, 1), (6, 6, 2, 1), (6, 6, 3, 1), (6, 6, 4, 1), (6, 6, 5, 1), (6, 6, 6, 1), (7, 6, 0, 1), (7, 6, 1, 1), (7, 6, 2, 1), (7, 6, 3, 1), (7, 6, 4, 1), (7, 6, 5, 1), (7, 6, 6, 1), (2, 2, 0, -1), (2, 2, 1, -1), (2, 2, 2, -1), (2, 2, 3, -1), (2, 2, 4, -1), (2, 2, 5, -1), (2, 2, 6, -1), (3, 2, 0, -1), (3, 2, 1, -1), (3, 2, 2, -1), (3, 2, 3, -1), (3, 2, 4, -1), (3, 2, 5, -1), (3, 2, 6, -1), (3, 3, 0, -1), (3, 3, 1, -1), (3, 3, 2, -1), (3, 3, 3, -1), (3, 3, 4, -1), (3, 3, 5, -1), (3, 3, 6, -1), (4, 3, 0, -1), (4, 3, 1, -1), (4, 3, 2, -1), (4, 3, 3, -1), (4, 3, 4, -1), (4, 3, 5, -1), (4, 3, 6, -1), (4, 4, 0, -1), (4, 4, 1, -1), (4, 4, 2, -1), (4, 4, 3, -1), (4, 4, 4, -1), (4, 4, 5, -1), (4, 4, 6, -1), (5, 4, 0, -1), (5, 4, 1, -1), (5, 4, 2, -1), (5, 4, 3, -1), (5, 4, 4, -1), (5, 4, 5, -1), (5, 4, 6, -1), (5, 5, 0, -1), (5, 5, 1, -1), (5, 5, 2, -1), (5, 5, 3, -1), (5, 5, 4, -1), (5, 5, 5, -1), (5, 5, 6, -1), (6, 5, 0, -1), (6, 5, 1, -1), (6, 5, 2, -1), (6, 5, 3, -1), (6, 5, 4, -1), (6, 5, 5, -1), (6, 5, 6, -1), (6, 6, 0, -1), (6, 6, 1, -1), (6, 6, 2, -1), (6, 6, 3, -1), (6, 6, 4, -1), (6, 6, 5, -1), (6, 6, 6, -1), (7, 6, 0, -1), (7, 6, 1, -1), (7, 6, 2, -1), (7, 6, 3, -1), (7, 6, 4, -1), (7, 6, 5, -1), (7, 6, 6, -1), (2, 2), (3, 2), (3, 3), (4, 3), (4, 4), (5, 4), (5, 5), (6, 5), (6, 6), (7, 6), (2, 2, 0, 1, 2, 2, 0, 1), (2, 2, 0, 1, 3, 3, 0, 1), (3, 3, 0, 1, 3, 3, 0, 1), (2, 2, 0, 1, 4, 4, 0, 1), (2, 2, 0, 1, 2, 2, 0, 1, 2, 2, 0, 1)]
Mode Content¶

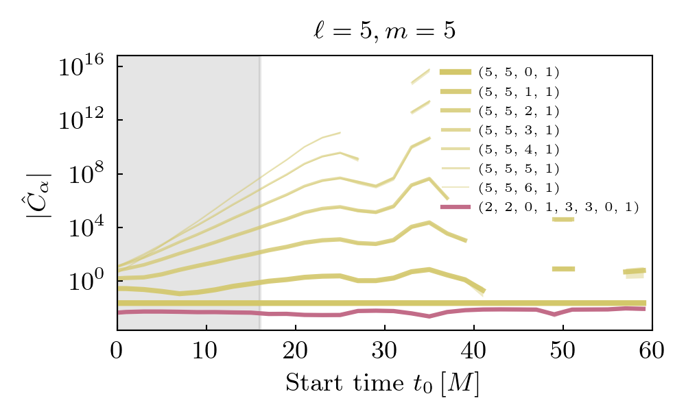
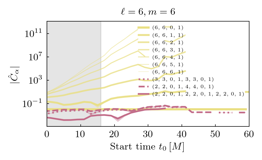
Amplitude Stability¶





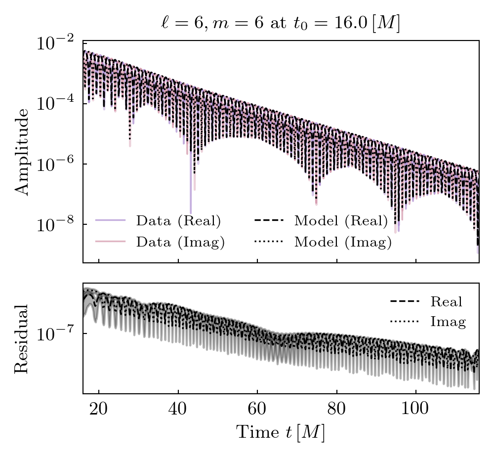
Fits¶




